四川大学赵星/郭冰/肖雄/张菊英团队分析36万人2911种血浆蛋白,揭示五种不同共暴露模式影响心血管代谢疾病的机制
| 导读 | 研究人员首次发现CDCP1、CXCL17等炎症和免疫蛋白是连接环境暴露与疾病的关键介质。 |
近日,四川大学赵星/郭冰/肖雄/张菊英团队一项发表国际知名期刊《Nature Communications》的研究通过分析英国生物样本库中超36万人的多维度数据,识别出五种不同的共暴露模式,并揭示它们通过特定血浆蛋白质影响心血管代谢疾病的机制。
其中,“社会剥夺”模式对健康的危害最大——处于这种环境中的人患心血管代谢疾病的风险比参照组高出15%-40%。研究人员首次发现CDCP1、CXCL17等炎症和免疫蛋白是连接环境暴露与疾病的关键介质。

研究设计概览
研究分类:五种共暴露模式

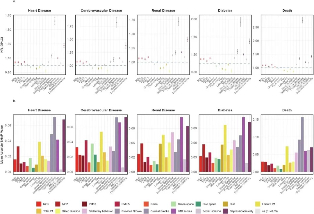
个体暴露对心血管代谢疾病的影响与贡献度
经过聚类分析,研究团队在大量人群中识别出五种不同的共暴露模式。
-
空气和噪音污染模式代表了5.78%的研究人群,他们暴露在高水平的空气污染物和噪音中。
-
社会剥夺模式占了研究人群的20.52%,其特征包括社会经济地位低、社会孤立指数高、久坐时间长、焦虑/抑郁患病率高和吸烟率高。这是五种模式中健康风险最高的群体。
-
蓝绿空间模式占23.14%,特点是接触自然环境多。
-
健康行为模式占9.42%,参与者饮食质量高、体力活动水平高、超过半数人睡眠时间理想。
-
剩下的40.14%参与者被归类为参照模式,他们的各项暴露水平大致处于所有人群的平均水平。这种分类方式显示了环境暴露在现实世界中的共现性,解释了为什么某些健康问题在特定人群中更为集中。
研究结果:社会剥夺模式危害最大

共暴露模式的特征及其对心血管代谢疾病(CMDs)的影响
研究发现,不同的共暴露模式对健康的影响存在显著差异。
社会剥夺模式组成员罹患所有心血管代谢疾病的风险均最高,风险比在1.15到1.40之间。空气和噪音污染模式同样对健康产生不利影响,但其风险程度低于社会剥夺模式。该组成员患心脏病的风险比参照组高6%,而患脑血管疾病、肾脏疾病、糖尿病和死亡的风险也均有升高。相比之下,处于蓝绿空间模式对糖尿病具有显著保护作用,风险比仅为0.89。健康行为模式的保护作用最为明显,特别是对死亡、糖尿病和肾脏疾病的风险降低最为显著。
研究还发现,在调整了多种混杂因素后,当前吸烟与死亡风险关联最强,风险比高达2.76;而健康生活方式因素则显示出保护作用。
机制解析:蛋白质组学揭示作用机制

共暴露模式的蛋白质组特征
为了深入探索环境暴露影响健康的内在机制,研究团队对2911种血浆蛋白进行了分析。不同暴露模式具有独特的蛋白质特征,尤其是社会剥夺和空气噪音污染模式。
这些蛋白质主要富集在免疫和炎症反应通路,包括细胞趋化、白细胞迁移和血管发育调控等过程。细胞因子-细胞因子受体相互作用通路在所有四种暴露模式中均被富集。
特别值得注意的是,在社会剥夺和空气噪音污染模式中,病毒蛋白与细胞因子和细胞因子受体相互作用通路被富集,提示病毒感染或其对免疫反应的影响可能在这些环境暴露对健康的影响中发挥作用。
此外,在健康行为模式中发现的破骨细胞分化和骨代谢通路富集,为运动可能预防骨骼相关疾病提供了分子证据。这些发现为理解环境因素如何通过分子途径影响健康提供了新视角。
核心发现:关键中介蛋白的桥梁作用

介导共暴露模式对心血管代谢疾病(CMDs)影响的关键血浆蛋白
研究人员通过中介分析确定了在环境暴露与疾病关系中起关键桥梁作用的蛋白质。CDCP1、CXCL17、FGF21、GDF15和IGFBP4是社会剥夺和空气噪音污染两种模式共同的关键中介蛋白。GDF15是社会剥夺和空气噪音污染模式与心脏病关联中最显著的中介因子。已知GDF15能够抑制胰岛炎症、氧化应激和β细胞凋亡,从而减少糖尿病的发生发展。
在蓝绿空间模式中,ITGAV、HPGDS、ADGRG2和MMP12是死亡风险关联的主要中介蛋白。而在健康行为模式中,CXCL13、CA6、SDC1和PTN是主要的中介蛋白。
这些发现不仅揭示了环境暴露影响健康的具体分子途径,也为未来开发针对性的干预措施提供了潜在靶点。通过调节这些关键分子的表达或功能,可能有助于减轻环境污染和社会剥夺带来的健康风险。
应用前景:拓展药物研发维度,推动精准医疗发展
这项研究为理解多维度环境暴露对心血管代谢健康的复杂影响提供了新视角。社会剥夺模式影响人群的识别,为公共卫生资源精准投放提供了重要依据。
研究发现超过20%的研究人群处于社会剥夺模式,而这一人群的疾病负担最重。更值得关注的是,社会剥夺模式中普遍存在的焦虑、抑郁和社会孤立等问题,不仅是心理健康问题,更会通过激活特定的炎症蛋白通路,直接推动心血管代谢疾病的发生。蛋白质作为环境暴露的生物标志物,为早期识别高风险个体和监测干预效果提供了可能。(转化医学网360zhyx.com)
原文链接:
https://www.nature.com/articles/s41467-025-65497-2
【关于投稿】
转化医学网(360zhyx.com)是转化医学核心门户,旨在推动基础研究、临床诊疗和产业的发展,核心内容涵盖组学、检验、免疫、肿瘤、心血管、糖尿病等。如您有最新的研究内容发表,欢迎联系我们进行免费报道(公众号菜单栏-在线客服联系),我们的理念:内容创造价值,转化铸就未来!
转化医学网(360zhyx.com)发布的文章旨在介绍前沿医学研究进展,不能作为治疗方案使用;如需获得健康指导,请至正规医院就诊。
责任声明:本稿件如有错误之处,敬请联系转化医学网客服进行修改事宜!
微信号:zhuanhuayixue
腾讯登录
还没有人评论,赶快抢个沙发