【JITC】川大华西:成功预测晚期胆道癌免疫疗法效果的新工具
| 导读 | 临床影像组学列线图在预测晚期胆管癌患者对免疫治疗的反应方面表现出了良好的性能。 |
12月30日,四川大学华西医院研究人员在期刊《Journal for ImmunoTherapy of Cancer》上发表了研究论文,题为“Clinical-radiomics nomogram integrating lymph node radiomic features to predict immunotherapy response in advanced biliary tract cancers”,本研究中,研究人员将九个影像组学特征组合起来构建了 Rad 分数。列线图整合了六个临床参数和 Rad 分数,在训练、验证和测试队列中分别实现了最佳的判别能力,曲线下面积(AUC)分别为 0.899、0.843 和 0.874。临床模型在训练、验证和测试队列中的预测性能优于 Rad 分数,AUC 分别为 0.834、0.878 和 0.740。校准曲线和布里尔分数表明列线图具有良好的拟合度。列线图得分较高的患者与得分较低的患者相比,总生存期(OS)和无进展生存期(PFS)更长。临床影像组学列线图在预测晚期胆管癌患者对免疫治疗的反应方面表现出了良好的性能。
胆道癌:免疫治疗有进展,精准筛选获益患者是关键
01
胆道癌(BTCs)是一种高度恶性的疾病,预后通常较差,过去几十年来其发病率在全球范围内不断上升。根治性切除是唯一可能治愈的治疗方法;然而,大多数首次确诊时已处于晚期的患者并不适合手术。即使进行了根治性切除,由于复发和转移的风险较高,预后仍然不佳,根据监测、流行病学和最终结果数据,5 年生存率仅为 15.2%。
免疫治疗因其对免疫系统的显著激活作用而取得了令人鼓舞的进展,目前在多种实体恶性肿瘤的治疗中发挥着越来越重要的作用。一些研究表明,免疫检查点抑制剂(ICIs)可能有助于改善晚期 BTC 患者的临床结局。然而,值得注意的是,临床获益仅限于部分患者。免疫治疗费用高昂且可能引起毒性反应,因此,在免疫治疗前识别更有可能获得持久临床获益的患者具有重要的临床价值。
生存预测
02
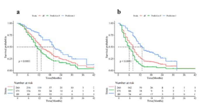
研究展示了总生存期(OS)和无复发生存期(RFS)的 Kaplan-Meier 曲线。临床影像学列线图的截断值为 0.5,根据此值将患者分为高分组和低分组。高分组患者的总生存期和无进展生存期均长于低分组患者(p<0.001)。高分组患者的中位总生存期和无进展生存期分别为 14.0 个月和 11.0 个月。低分组患者的中位总生存期和无进展生存期分别为 10.0 个月和 6.0 个月(p<0.001)。高分组和低分组患者的 1 年和 2 年总生存率分别为 76.4%、56.2% 和 48.0%、32.2%。高分组和低分组患者的 1 年和 2 年无进展生存率分别为 56.2%、41.6% 和 16.4%、12.3%。

根据诺模图评分对患者进行分组的总生存率(a)和无进展生存率(b)的 Kaplan-Meier 曲线
结论
03
总之,通过结合临床数据、放射学和影像组学特征构建的临床影像组学列线图,能够成功预测晚期胆管癌患者对免疫检查点抑制剂(ICIs)的反应。该列线图可作为一种简便、无创、经济且可靠的免疫检查点抑制剂反应预测工具,有助于临床决策。(转化医学网360zhyx.com)
参考资料:
https://jitc.bmj.com/content/13/12/e012416
【关于投稿】
转化医学网(360zhyx.com)是转化医学核心门户,旨在推动基础研究、临床诊疗和产业的发展,核心内容涵盖组学、检验、免疫、肿瘤、心血管、糖尿病等。如您有最新的研究内容发表,欢迎联系我们进行免费报道(公众号菜单栏-在线客服联系),我们的理念:内容创造价值,转化铸就未来!
转化医学网(360zhyx.com)发布的文章旨在介绍前沿医学研究进展,不能作为治疗方案使用;如需获得健康指导,请至正规医院就诊。
责任声明:本稿件如有错误之处,敬请联系转化医学网客服进行修改事宜!
微信号:zhuanhuayixue
腾讯登录
还没有人评论,赶快抢个沙发