43.2%病理完全缓解率!李鹤成/李印/李斌团队发布免疫联合放化疗方案临床试验结果,揭示IL-6或成食管癌免疫疗效预测新标志物
| 导读 | 研究还发现血清IL-6水平可作为治疗反应的预测指标,并通过实验证实IL-6中和抗体可增强免疫治疗效果,这一发现为食管癌精准免疫治疗提供了新方向。 |
近日,上海交通大学医学院附属瑞金医院李鹤成、中国医学科学院肿瘤医院李印&上海市免疫学研究所李斌团队一项重要成果发表于国际知名期刊《信号转导与靶向治疗》(Signal Transduction and Targeted Therapy,IF=52.7)。这项多中心1/2期临床试验显示:术前使用帕博利珠单抗联合放化疗治疗局部晚期可切除食管鳞状细胞癌(ESCC),病理完全缓解率达到了43.2%。研究还发现血清IL-6水平可作为治疗反应的预测指标,并通过实验证实IL-6中和抗体可增强免疫治疗效果,这一发现为食管癌精准免疫治疗提供了新方向。
研究设计:首次大型PPCT方案探索
研究入组流程图
PALACE-2试验是一项多中心、单臂、1/2期临床研究,旨在评估PPCT方案(术前使用帕博利珠单抗联合放化疗)在局部晚期可切除ESCC中的疗效和安全性。研究纳入143名患者,最终125名患者接受了手术。
治疗方案采用“化疗+放疗+免疫”三联模式。患者接受紫杉醇/卡铂或纳米紫杉醇/卡铂方案化疗,同时联合放疗,并在新辅助治疗中增加帕博利珠单抗免疫治疗。
完成新辅助治疗后4-6周,患者接受食管癌根治术。研究主要终点是病理完全缓解率,次要终点包括安全性、手术可行性和生存结果。
团队还通过单细胞RNA测序分析肿瘤微环境变化,并利用小鼠模型验证IL-6中和抗体对免疫治疗的增强作用,深入探索疗效背后的机制。
疗效结果:显著肿瘤清除与生存获益

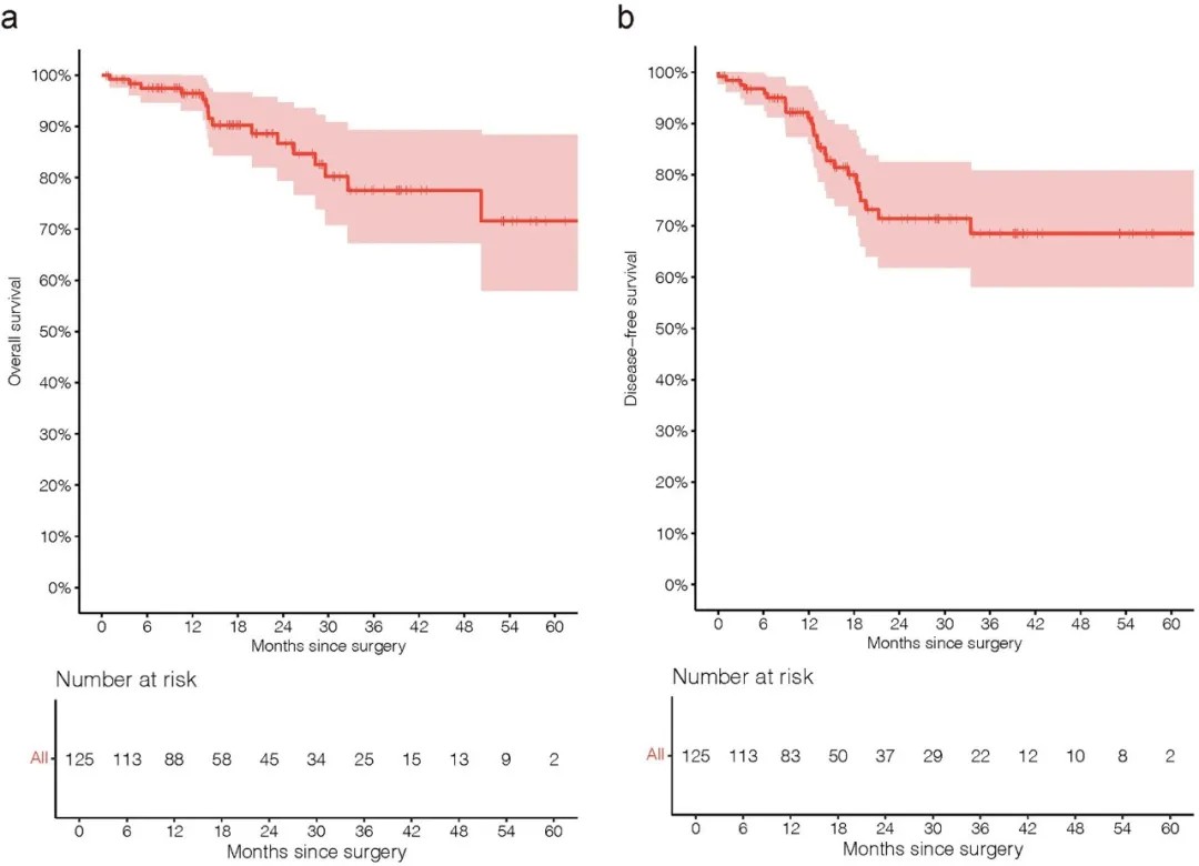
生存分析的卡普兰-迈耶曲线
术后病理评估显示,54名患者达到病理完全缓解,即手术标本中未见存活肿瘤细胞,pCR率为43.2%。此外,48%的患者原发肿瘤达到完全缓解。
手术质量指标令人满意。R0切除率高达96.8%,意味着绝大多数患者实现了肿瘤完全切除。且微创手术比例达到77.6%,减少了手术创伤。中位随访17.4个月后,生存数据分析显示,患者1年无病生存率和总生存率分别达到91.1%和96.5%,2年生存率分别为71.4%和86.7%。
复发模式分析显示,在22例复发患者中,局部区域复发和远处转移比例相近,各占约50%。这表明联合方案可能改变了单纯放化疗后的复发模式。
安全性数据:不良反应可控

术前帕博利珠单抗联合放化疗调节肿瘤免疫微环境
安全性方面,绝大多数患者完成了预定治疗方案。在新辅助治疗期间,75.7%的患者出现3级或以上不良事件。
淋巴细胞减少是最常见的不良反应,发生率达74.3%,但通常不需要特殊干预。其他常见不良事件包括贫血、免疫性肺炎和中性粒细胞减少。3名患者因不良事件未能接受手术,其中2例死于消化道出血,1例死于免疫相关心肌炎、肝炎和胰腺炎。
术后并发症方面,吻合口漏发生率为11.2%,肺炎发生率为21.6%,声音嘶哑发生率为16.8%。一名患者术后90天内因严重食管气管瘘死亡。
机制探索:IL-6成为潜在生物标志物

抗PD-1阻断下的病理学缓解与CD4+ T细胞毒性程序增强及血清IL-6水平降低相关
研究团队通过单细胞RNA测序分析了PPCT对肿瘤微环境的影响。发现治疗后CD8+ T细胞显著增加,特别是表达CXCL13的肿瘤反应性T细胞亚群。更重要的是,研究首次详细描述了CD4+ T细胞的变化。细胞毒性CD4+ T细胞在应答患者中比例更高,而具有免疫抑制功能的Treg细胞比例下降。
血清生物标志物分析显示,基线IL-6水平低的患者对治疗反应更好。体外实验证实,IL-6处理会抑制CD4+ T细胞毒性功能的发挥。动物实验进一步验证,抗IL-6抗体与抗PD-1抗体联合使用可显著增强抗肿瘤效果,并促进细胞毒性CD4+ T细胞的浸润。这为未来联合治疗策略提供了依据。
临床意义:指向精准免疫治疗新方向
PALACE-2研究是首项大规模评估PPCT方案用于可切除ESCC的前瞻性试验,为术前免疫联合放化疗提供了高级别证据。血清IL-6作为潜在预测标志物的发现,有助于未来实现个体化治疗。研究同时揭示了IL-6中和抗体与免疫联合的协同作用,这为克服耐药提供了新策略。特别是对于IL-6水平高的患者,加用IL-6抑制剂可能改善疗效。
随着生物标志物的不断完善和联合策略的优化,食管鳞癌的治疗正迈向精准免疫治疗的新时代。未来可能根据患者肿瘤微环境特征和血清标志物,制定个体化新辅助治疗方案。(转化医学网360zhyx.com)
原文链接:
https://www.nature.com/articles/s41392-025-02477-4
【关于投稿】
转化医学网(360zhyx.com)是转化医学核心门户,旨在推动基础研究、临床诊疗和产业的发展,核心内容涵盖组学、检验、免疫、肿瘤、心血管、糖尿病等。如您有最新的研究内容发表,欢迎联系我们进行免费报道(公众号菜单栏-在线客服联系),我们的理念:内容创造价值,转化铸就未来!
转化医学网(360zhyx.com)发布的文章旨在介绍前沿医学研究进展,不能作为治疗方案使用;如需获得健康指导,请至正规医院就诊。
责任声明:本稿件如有错误之处,敬请联系转化医学网客服进行修改事宜!
微信号:zhuanhuayixue
腾讯登录
还没有人评论,赶快抢个沙发